"对等关税“其实不是宣传的所谓,你对美国商品charge多少进口税,美国就”对等”charge你同样的税率

本帖于 2025-04-03 09:32:29 时间, 由普通用户 奔驰野马 编辑

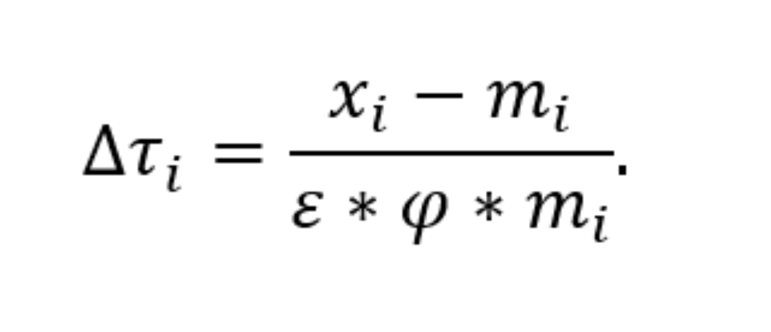
实际的计算公式是这样的,具体的解释在USTR的网站上。简单地说,所谓“对等关税" 大体上跟每个国家的关税水平没直接的关系。这个被发明出来的"对等关税“概念,实际上是美国需要charge某个国家多少关税,才能消除同那个国家的贸易逆差。而且,最后施行的”对等关税“,还被随意地除以二,也就是说这个消除逆差的目标,根本也没打算实现,能减一半就很满意了。

这个”对等关税“的公式假设美国可以在减少来自某国家的进口总额的同时,维持对那个国家出口的总额,从而消除逆差。实际上根本做不到的,别的国家会报复,相应提高关税,减少从美国的进口,除非美国可以在所有的商品市场都能做到monopoly.

这届政府草台班子,也真是服了。

This is the formula that Trump's team says was used to calculate reciprocal tariffs. (Source: Office of the United States Trade Representative)

Reciprocal Tariff Calculations | United States Trade Representative

 

所有跟帖: 

关税也就是缓兵之计,抵挡几天,主要是没有啥和别人交换, 对方什么都有还比你便宜还更好, 现在模式不可持续 -糊了一嘴巧克力- 给 糊了一嘴巧克力 发送悄悄话 (0 bytes) () 04/03/2025 postreply 09:33:46

实话说没有几个人这个数字是怎么回事,但知道MAGA30年以后才看出来 -一笑拉- 给 一笑拉 发送悄悄话 (0 bytes) () 04/03/2025 postreply 09:39:41

不懂算法,小视频说是表格生成简单算法,不知真假:D -早春二月- 给 早春二月 发送悄悄话 (0 bytes) () 04/03/2025 postreply 09:50:42

说是靠南极一个小岛也在名单上,上面人都没有就企鹅,人上去要申请的 -一笑拉- 给 一笑拉 发送悄悄话 (0 bytes) () 04/03/2025 postreply 10:03:49

其实川普这关税就是演戏给普通老百姓看、看我多伟大,让他们都怕我。美国财政部长却对世界说,不要关税报复 -水中捞月- 给 水中捞月 发送悄悄话 水中捞月 的博客首页 (273 bytes) () 04/03/2025 postreply 09:45:44

现在好像没人真正知道关税是怎么计算的,其背后的目的肯定不是简单的关税对等,因为要考量的因素远多于关税本身 -akuan- 给 akuan 发送悄悄话 (0 bytes) () 04/03/2025 postreply 10:05:02

没有了逆差,美元咋办呢,床总的真正目标是美元? -英二- 给 英二 发送悄悄话 英二 的博客首页 (0 bytes) () 04/03/2025 postreply 10:13:51

他把中国的关税提高到差不多70%,中国出口量起码夭折一半以上,剩下的基本都是无可代替的,中国从美进口一千多亿,都是可代替 -古安- 给 古安 发送悄悄话 (42 bytes) () 04/03/2025 postreply 10:32:20

大家耐心慢慢看, 总有尘埃落定的时候 -就是劳碌命- 给 就是劳碌命 发送悄悄话 (0 bytes) () 04/03/2025 postreply 10:39:59

请您先登陆,再发跟帖!