傅里叶变换光学概述
现代光学的三件大事
• 全息术—1948年
• 像质评价的传递函数—1955年
• 激光器—1960年
傅里叶变换光学的基本思想
引入变换的概念,将数学上周期信号的傅里叶级数展开应用于光学,对应于将复杂的图像分解为一系列单频信息的合成。
主要内容
(1)光场的空间频谱—时间频谱的变换(傅里叶光谱仪) (2)成像系统中存在的变换关系—物像关系(光学空间滤波、光学信息处理、光学传递函数、波前再现和全息术)
实现途径
物理器件、物理效应、和物理装置。
用变换的观点看成像和光谱

• 光的衍射和干涉最基本的方法: 光的相干叠加。
• 另外一个角度: 入射波场,遇到障碍物之后,波场中各种物理量重新分布,相当于“波前(函数)重构”。衍射障碍物将简单的入射场变换成了复杂的衍射场。
• 可以从障碍物对波场的(数学)变换作用,来分析衍射。
• 从更广义的角度,不仅仅是相干波场的障碍物,非相干系统中的一切使波场或者波面产生改变的因素,它们的作用都可以应用变换的方法处理。
傅里叶变换光学与经典波动光学的关系(衍射)

衍射系统及其屏函数
衍射屏
能使波前的复振幅(波前函数)发生改变的物,统称为衍射屏。
照明空间
衍射屏将波的空间分为前场和后场两部分。前场为照明空间,后场为衍射空间。
入射场、透射场与接收场
波在衍射屏的前后表面处的复振幅或波前函数分别称为入射场、透射场(或反射场),接收屏上的复振幅为接收场。

屏函数及其作用
衍射屏的作用是使入射场转换为透射场(或反射场) 。用函数表示,就是衍射屏的透过率或反射率函数,统称屏函数。

模为常数的衍射屏称为相位型的 ,如透镜、棱镜等。幅角为常数的衍射屏称为振幅型的 ,如单缝、圆孔等。
相因子分析法
相因子分析法的基本思路
(1)若已知衍射屏的屏函数,就可以确定衍射场,进而完全确定接收场。
(2)但由于衍射屏的复杂性以及衍射积分求解的困难,多数情况下解析的完全确定屏函数几乎是不可能的。
(3)因此,只能采取一定的近似方法获取衍射场的主要特征。
(4)如果知道了屏函数的相位,则能通过研究波的相位改变来确定波场的变化。这种方法称为相因子判断法。
(5)分析条件:一般在傍轴近似下进行判断。
(6)出发点:平面波与球面波的波动方程的表达形式。
(7)认为透镜和棱镜对光的吸收处处相等或无吸收,可忽略振幅的变化,认为是相位型衍射屏。
相因子分析法,简单的说,就是根据波前函数的相因子来判断波场的特性,分析衍射场的主要特征。
近轴条件下典型光波场在平面波前(x,y)上的相因子






相位衍射元件的位相变换函数及分析
透镜的位相变换函数

设透镜的有效口径为D,则透镜的位相变换函数为

若忽略透镜的吸收,即

则有

是位相型变换函数,其作用有二:(1)光瞳;(2)波面变换
进行计算的条件:傍轴近似,入射波前、出射波前取平面,此时近似认为透镜中的光波波矢平行于光轴。

透镜位相变换函数的计算


透镜对波面的变换—平面波入射

透镜对波面的变换—球面波入射

棱镜的相位变换函数

棱镜的相位变换作用

棱镜的相位变换的一种等效观点

以另一种思路考虑棱镜的相位变换函数,将相因子对调:

总结
具体来说,对图像产生的复杂波前的傅里叶分析,其内容和特点主要包括以下几点:
出发点:二维波前决定三维波场,其特征主要体现在波前函数的相位因子上;
根据波前函数的相因子,可以判断波场的类型,分析其衍射场的主要特征。
傅里叶变换光学将复杂的衍射场分解为一些列不同方向、不同振幅的平面衍射波。
特定方向的平面衍射波作为一种载波,携带特定空间频率的光学信息。
学习输出
各位朋友看完本文后有何收获呢?学习是需要输出的,将自己学到的东西写成自己的心得对学习是有事半功倍效果的。大家可以在后面留言分享一下自己的学习心得或者讨论一下相关的原理,今天可以重点回顾一下以下几个问题:
1. 衍射系统和屏函数的概念是什么?
2. 平面波和球面波的相因子表示法是什么?
3. 透镜和棱镜的相因子、透射函数及其作用有哪些?
空间频率的概念
时间频率
时间频率指信号随时间的周期性变化(简谐振动)。
空间频率
空间频率指某一面内光场随空间位置的周期性变化。

频谱展开

物理意义:任意变化的信号可展开成一系列简谐振动的迭加。
空间频率的计算

正弦光栅及其衍射图样
正弦光栅的屏函数及对光场的作用

物理意义:正弦光栅将透射波变为三列平面波。
正弦光栅的三列衍射波的分析

正弦光栅的特点

正弦光栅的制备方法

正弦光栅的有效宽度对其衍射场的影响

正弦光栅的组合





任意光栅的屏函数及其傅里叶展开
任意光栅屏函数的傅里叶展开
空间周期函数的严格周期性
实际中会有窗函数的限制。在较大范围内具有周期性的函数被称为准周期函数。
处理思路:先将变换函数作为严格周期函数处理,必要时才考虑窗函数的影响。
严格周期函数展开的三种模式
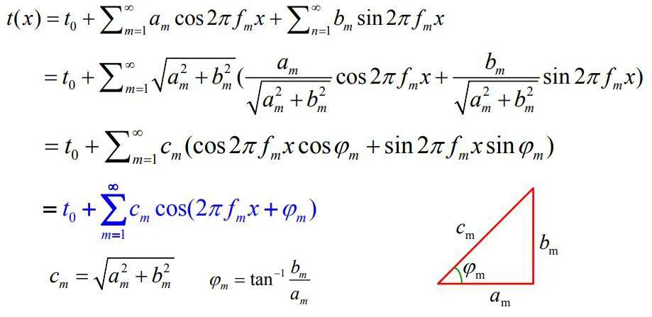
(1)正余弦展开

(2)余弦相移式

(3)傅里叶级数展开

当然也可以由余弦表达式和欧拉公式很简洁的得到复数表达式,此处推导的目的在于说明正弦余弦表达式更为基本。
黑白光栅屏函数的傅里叶展开
光栅常数为 d,透射缝宽为 a 的黑白光栅,其屏函数为:



夫琅禾费衍射的再认识
傅里叶分解的数学计算需要有对应的物理装置来实现,Fraunhofer衍射是衍射屏空间频率的频谱分析器—将一定空间频率的信息分解为一对特定方向的平面衍射波,在远场分离。

过高频信息产生的衰逝波

学习输出
各位朋友看完本文后有何收获呢?学习是需要输出的,将自己学到的东西写成自己的心得对学习是有事半功倍效果的。大家可以在后面留言分享一下自己的学习心得或者讨论一下相关的原理,今天可以重点回顾一下以下几个问题:
1. 空间频率的概念是什么?
2. 正弦光栅的屏函数及对光场的作用是什么?
3. 任意光栅屏函数的傅里叶展开原理是什么?
阿贝成像原理
对于衍射屏,可以用Fourier变换将其展开为Fourier级数或Fourier积分

以简单的平面波入射,透射波为:

阿贝对成像过程的理解(1874,在蔡司光学公司)
1,可以从几何光学的角度,即光线的折射来说明成像过程
2,也可以从Fraunhofer衍射的角度,即对波前的变换来说明成像的过程
以正弦光栅的成像说明阿贝成像原理


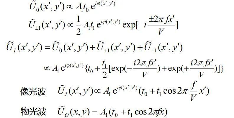
第一步,物光波(屏函数的平面波)经过透镜在其焦平面上汇聚成衍射斑,即点光源(Fourier变换,衍射斑→频谱展开)。
第二步,焦平面上的衍射斑作为相干的点光源,发出的次波在像平面上相干叠加(Fourier反变换,衍射斑干涉→成像)

三个衍射斑(点光源)发出的光波在像平面上的复振幅






像平面光波与物平面光波是相似的,即两者是物像关系。
空间频率:f→f/V,表示像的几何放大或缩小。
像质的反衬度:交流部分与直流部分的比值。反衬度不变。
空间滤波的概念


阿贝—Porter空间滤波实验
以黑白光栅为物,单色平行光照射
在傅氏面上加一可调狭缝,观察像的变化


只让0级,即直流成分通过,则像平面被0级斑发出的球面波照明。近轴条件下,被均匀照明

让0级和±1级通过,则像平面上是0和±1三个衍射斑发出的次波的相干叠加

让0级、±1和±2级通过,则像平面上是5个衍射斑发出的次波的相干叠加


相衬显微镜
成像(显微):空间分辨率,衬度(contrast)
很薄的透明样品,例如生物切片,对光的吸收很小,因而不同的部分反差较小,在显微镜下观察,不容易分辨细节。
这类样品,不会引起透射光振幅的改变,所以不是振幅型的;
但由于各处折射率并不相同,因而透射光的相位会有改变,是相位型的。
针对这一特点,可以通过相移的方式增大图像的反衬度。

相移的原理
样品的屏函数为
即在样品平面处,相位因子各不相同
平面光照射样品,物平面发出的物光波为

衍射后在傅里叶面上形成一系列衍射斑
在傅里叶面上0级斑处加一滴液体,使直流成分产生一个附加的相位 δ,即产生相移。
相移对光强的影响

相移显微术




“相衬法不是在与显微镜打交道时被发现的,而是在光学领域的另一个不同的方面。它萌动于也即我对衍射光栅的兴趣,这大约始于1920年。”
“我深感于人类头脑的很大局限性,我们学习模仿先人已经做过或想过的事情是多么的快,而理解也即是看到深层的联系又是多么的慢。然而,其中最慢的莫过于发现新的联系,或甚至是去运用旧观念于一个新领域。
