事情是这样的,前段时间,国科大杭高院张夏衡团队在《 nature 》上发表了一篇论文。在这篇论文里,提到了一种新的制药合成方法,绕开了传统制药过程中容易发生爆炸的重氮化合成路径,还能大幅降低制药成本。

本来差评君刷到的时候,还没太当一回事儿,但不久之后,我发现网上的讨论把这事儿是越传越邪乎了。
有人说这个反应直接改写了百年教科书,之前一百多年里全世界的有机化学毛衣都穿反了;还有人说这种新方法可以在现在的基础上把药的价格打下来一半,拿个诺奖都是轻轻松松。
甚至有传言这个成果是实习生违规操作,把硝酸硫酸一通乱加,本来应该直接爆炸的,结果意外得到了成功的结果,简直是原汁原味的 “ 炸药奖精神 ”,诺贝尔本人来了都得敬酒。

那么,这篇论文真的是诺奖级的成果吗?发现它的过程又真的是像大家说的一样大力出奇迹吗?
我们来聊一聊,传说中的 “ 诺奖级 ” 反应,到底是个啥?
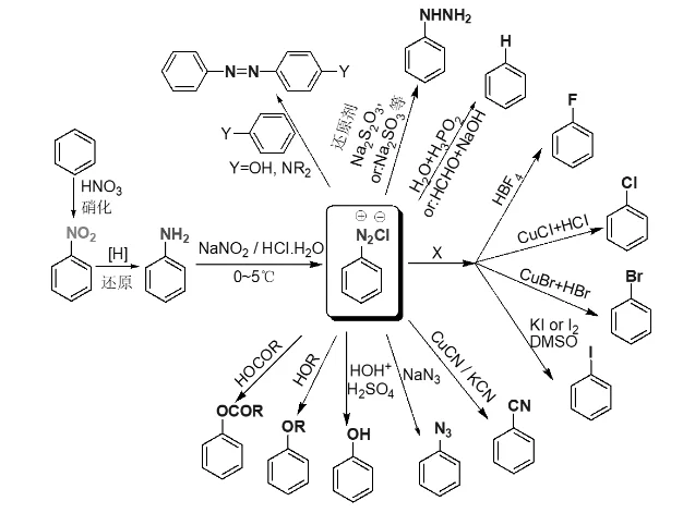
这篇论文的主要成果,是发现了一种绕开重氮化反应,转化芳香胺的新流程。所谓芳香胺,指的是氨基和芳香环直接相连的化合物。其中,最经典的芳香胺是一个苯环和一个氨基组成的苯胺,它结构简单,也便宜易得。
因此,也是制药工业中最常用的原料。

当然,单靠苯环自己肯定不能当药使,只有 “ 组装上 ” 各种各样的官能团,也就是插在 “ 环 ” 上的这些 “ 树枝 ”,才能成为某种药物。所以,在开发或者合成药物的过程中,我们经常需要把苯胺的氨基换成其他的基团。
但要把氨基取下来,可没那么容易。
氨基和苯环之间的 C - N 键很紧,非常难拆。其中很重要的一个原因是氨基属于经典的 “ 推电子基团 ”,顾名思义,就是会把电子云往苯环的方向推。
与之对应的,苯环也有个力在把氨基往回拽。就像拼乐高的时候使劲把积木往下压,压的越紧,拆开就越难。
在传统工艺流程里,解决这个问题的,是一种一百多年前发明的 “ 古法 ” :先重氮化,再还原。这种方法的第一步,是往芳香胺里加盐酸和亚硝酸钠,生成一种叫做重氮盐的中间体。

重氮盐的性质非常特殊。
它的氮元素连着苯环,又处在一个非常不稳定的状态,随时可能 “ 断线 ” 放出氮气。一旦往重氮盐里加入金属卤化物,比如氯化铜,就能把氮原子一把薅下来,替换上我们想要的元素。

换句话说,重氮化反应就像是一个万能中转站。
把苯胺放进去,就几乎可以变成任何想要的东西 —— 溴、氯、氰、羟基,甚至是氢本身,都能装上去。
不过,众所周知,强大的魔法往往伴随着风险。重氮化的合成路径虽然简单经典,但在工业生产中却是一个非常 “ 娇贵 ” 的反应。
其中最让人忌惮的,是重氮盐的 “ 暴脾气 ”。
在干燥状态下,重氮盐的化学性质极不稳定,哪怕是轻微的震动、摩擦,都可能引起爆炸。
可能有差友会问,那我把它配成溶液不就行了吗?
很遗憾,溶液状态的重氮盐,也一样难伺候。除了易燃易爆之外,重氮盐还有另一个让人头疼的性质:在室温下会自行分解。因此,为了保证重氮盐在反应中不变质,反应的温度必须保持足够低。

但与此同时,重氮盐的熔点又普遍很低,一旦温度低过熔点,溶液里的重氮盐就会析出,变成易爆的固体黏在容器内壁上。(温度太低又会导致重氮盐的溶解度下降,溶液一旦过饱和,溶液里的重氮盐就会析出,变成易爆的固体黏在容器内壁上)
总结一下就是,温度太低变炸药,温度太高成废料,简直是一根筋两头堵。
为了应对这些麻烦,在工业生产中,必须用一套非常复杂的装置,精确控制温度和给料速度,如果哪一步出了差错,就可能发生冲料事故,也就是俗称的 “ 扑锅 ”,严重的甚至会引发爆炸。

这种听起来都危险的生产环节,显然也对应着非常强力的监管。在我国应急管理部编制的危险化学品分类信息表里,随处可见重氮盐的身影。各级应急管理单位对企业的例行安全生产巡查中,重氮化也几乎是必查的重点对象。
对工厂来说,每多一条重氮化工序,就多一份安全风险和成本压力。在大规模的工业生产里,可以说是既贵又麻烦,还绕不开的一个步骤。所以,自从一百多年前重氮化的合成路径被发现以来,科学家们就一直琢磨着怎么改造这个反应。
而张夏衡老师团队这篇论文最重要的成果,就是找到了一个比重氮盐更安全,更好用的 “ 万能中转站 ”。
按照论文里的说法,他们最开始的想法,其实是给芳香胺上的氨基装上两个强吸电子基团,削弱芳香胺中的 C - N 键。可能听起来有点云里雾里,但解释起来其实并不复杂。我们前面提到过,氨基很难取下来,是因为氮原子在被苯环往回拽。
而张老师团队的思路就是在氮的另一边装上两个这样的基团,像拔河一样往反方向拽。两个对一个,优势在我。

这样拉力一抵消,再加入别的反应物,也许就能直接把氨基拽下来了。实验团队最先尝试的是酰基和磺酰基。但在试了好几种基团后,实验都无一例外的失败了。于是开始把注意力转移到了硝基上。
而这思路一转,神奇的事情就发生了。
确切地说,这一次的实验还是失败了,但从结果上来讲,他们找到了一种甚至比设想更好的办法。按照实验团队最初的设想,加入硝酸后,本来应该替换掉胺基上的一个氢原子变成硝基。
然后再进行下一步反应,取代掉另一个氢原子。最后,被削弱的胺基整个被氯原子替换,变成芳香卤化物。
但在实验第一步加入硝酸后,团队成员发现,在预想的结果之外,还得到了一种叫做 N - 硝基胺的副产物。更神奇的是,在按照原定的实验步骤在第二步加入磺酰氯后,经过一系列反应,最终还是得到了芳香卤化物。

虽然过程跟想象中完全不一样,但结果居然是对的。
并且,相比于 “ 暴脾气 ” 的重氮盐,这种新的中间体要稳定的多。虽然合成的最终步骤会释放笑气,处理起来也是个麻烦,但总归是比动不动就要爆炸要省心多了。
后续实验中,张老师的团队又发现,除了卤族元素,这种思路还能用来构建许多不同的结构。是一个跟重氮盐一样的 “ 万能插头 ”。
那么,这真的跟网上疯传的一样,是学生初生牛犊不怕炸,搞出来的 “ 乌龙进球 ”吗?
不得不承认的是,这次的发现,确实有一定的运气成分。比如硝化苯胺这一步,硝酸本身是强氧化剂,如果直接把硝酸加到苯胺里,不仅硝基上不去,还容易把氨基毁掉。所以在硝化之前,要加入保护基团,把氨基(–NH?)变成酰胺(–NHCOCH?)。
在这篇论文的补充材料里,确实也有保护基团的描述。

当然,从结果来看,这一步显然是不知道在哪出了差错。
氨基没能被完全保护,被氧化成了硝基胺。
在这一点上,研究人员们其实倒也没怎么避讳。在论文里就原原本本的说明了他们因为意外才得到了关键中间体硝基胺。但值得注意的是,实验中意外得到的硝基胺其实仅仅只占生成物的百分之几,能够被检测出来并做这么细致的分析。这种 “ 运气 ”,其实很难用 “ 爽文 ” 的逻辑一笔带过。

而且,实验流程中根本没有加过硫酸,硝酸的浓度也远远达不到 “ 爆炸 ” 的标准。所谓 “ 因为做了老师都不敢做的危险操作,反而发现了诺奖成级成果 ” 的爽文逻辑,更是从根上就是无稽之谈。
那么,用这种新的合成路径,真的能像传言一样,让药的价格降一半吗?
emmmmm,从原理上来说,新合成路径的中间产物硝基胺比重氮盐确实要稳定太多了,虽然生成物从氮气变成了笑气,有额外的副产物需要处理。但只要产率能达到差不多的水平,确实能把制药成本再砍很大一截。
当然,对于药的价格来说,制药的成本其实只是很小的一个组成部分,成本的大头,还是在营销和专利上。

要说把用到重氮化的药,药价砍一半,在未来的某一天变成 “ 白菜价 ”,恐怕还很难做到。不过,这种工艺确实显而易见的能在效率不变的前提下,把制药变得更安全了。在以往,对化工和制药企业来说,重氮化始终是一把悬在头顶的达摩克里斯之剑。
1998 年 10 月 7 号,一家德国化工厂里,2 kg 重氮盐结晶掉到地上当场爆炸,造成了一人死亡,六人受伤。
2007 年 11 月 27 日,江苏一家化工公司的重氮化工序也由于操作不当,没有把蒸汽阀门关好引发爆炸,当场造成 8 人死亡,5 人受伤。

如果能换成中间产物更温和的硝化路线,就能很大概率避免这种事故发生。另一方面,重氮化反应引起的污染问题,也是困扰药厂的心头之患。
实际上,这篇论文的起点,正好就是一家企业在项目中需要用重氮化生产,但重金属铜污染处理成本大大超过了原料成本。而把重氮化换成硝化,不用为了防止它爆炸搞那么复杂的生产流程,不用设计那么繁琐的安全冗余,也不用再处理催化剂产生的重金属废水了。

而且,除了论文之外,张老师的研究团队也已经为规模化的工业生产做了准备。在2023 年底前后就申请了多项专利。并跟企业合作,把实验室烧杯里的 “ 克级 ” 成果,扩展到了 “ 公斤级 ” 生产,并且取得了相当高的产率。
虽然这也只能算得上刚走出实验室,后面还要经历进入工厂试产的 “ 小试 ”、“ 大试 ”,才有可能进入实际应用。还有环保、产率、装置、流程等等难关等着一步步去闯。
但在差评君看来,不管是对产业,还是对有机化学这个学科,这都确实是一项非常有含金量的成果。
说不定在未来的某一天,我们还真有机会在新版的教科书上看到它。